线代强化
行列式
主对角线与副对角线矩阵的值
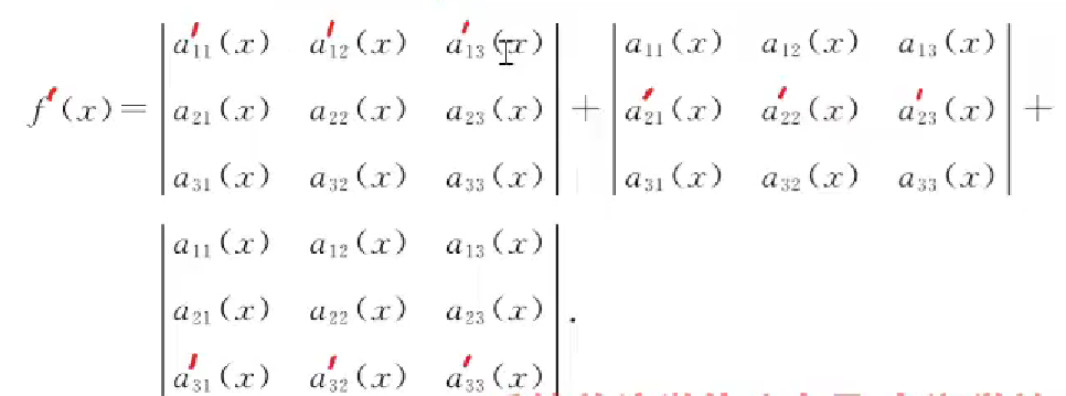
含有x的行列式的求导数,等于逐行求导,相加
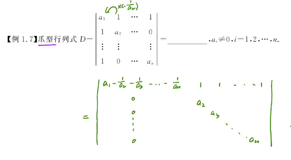
爪型行列式的计算
“么”型行列式计算
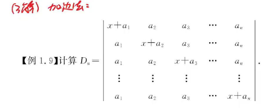
加边法计算行列式
梭型行列式计算
Dn-Dn-1=3(Dn-1- Dn-2)
Dn-1-Dn-2=3(Dn-2- Dn-3)
.......
D3- D2=3(D2- D1)
所以Dn-Dn-1=3n-2(D2 - D1)=3n
Dn-Dn-1=3n
Dn-1-Dn-2=3n-1
.......
D3- D2=33
D2- D1=32
等比数列相加得Dn - D1 即可计算出Dn
范德蒙行列式
$D_a=\begin{vmatrix}1&1&\cdots&1\\x_1&x_2&\cdots&x_n\\x_1^2&x_2^2&\cdots&x_n^2\\\vdots&\vdots&&\vdots\\x_1^{n-1}&x_2^{n-1}&\cdots&x_n^{n-1}\end{vmatrix}$
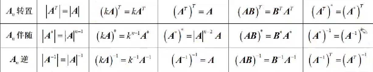
矩阵的基本运算
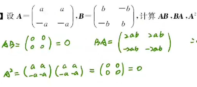
错误命题
坍缩矩阵
坍缩矩阵每次与自己相乘,有效信息都会被往外挤一次
秩为1的矩阵
若A=αβT,r(A)=1
!
求一个矩阵与另一个矩阵的逆矩阵相乘AP-1
!
结论AT+BT= (A+B)T
向量的线性组合写成矩阵的乘法
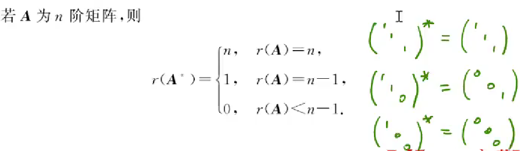
伴随矩阵的重要性质
抽象矩阵求逆 有难度
必然需要能通过题目得到一个等式 (A+E)(....)=E
综合表
初等矩阵、秩、分块矩阵
初等矩阵是单位矩阵经过一次初等变化后得到的矩阵
重要:Ei,j(k)A是对A做 行变化;AEi,j(k)是对A做 列变化
!
AB=O
简便记忆:标准型记忆法
例题:
重要结论:r(AAT)=r(ATA)=r(A)
分块矩阵的结论
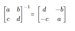
二阶矩阵的逆矩阵
左行右列,BA=C
BA可由 A经过B行变换得到;
但是反过来A不一定可由BA经过B-1行变换得到,因为B不一定可逆。
所以下面这个式子中,BA可以被上面的A经过行变换后逐项消去
例题
向量组
向量组等价
向量组等价,需要两向量组A: α1,α2,α3...αn与向量组B:β1,β2,β3...βm,可以互相线性表示,也就是r(A,B)=r(A)=r(B),对于A来说B的任何一个向量加入都是混子,对于B来说A的任何一个向量加入都是混子
问题:已知α1,α2,α3线性无关,判断下列是否线性无关?
思路1:凑系数k1,k2,k3,当只有k1,k2,k3全为0时才满足k1(α1+α2+α3)+k2(α1+2α2-3α3)+k3(α1+5α3)=0,这时向量组就是线性无关的,都是无法相互消去的
思路2:像这种比较难凑,写成矩阵相乘,将线性变换用矩阵写出,然后根据r(α1,α2,α3)=3,所以相乘矩阵的秩=后面的线性变换矩阵的秩,计算行列式,如果不等于0,说明满秩,从而向量组线性无关
用定义法证明向量组线性无关
求一个向量在以另一组向量作为基底下,的坐标
1.可以直接列方程解;2.也可以作为非齐次方程求解
注:一组基,一定是一组线性无关的向量
过渡矩阵
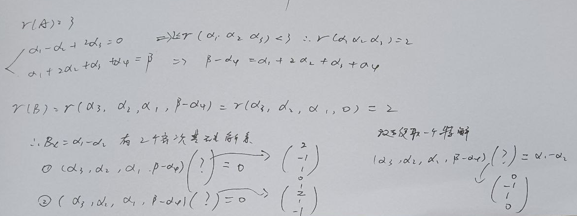
线性方程组求解
典型例题
若AB=O,则r(A)+r(B)≤n
典型例题2
两个方程有公共解问题
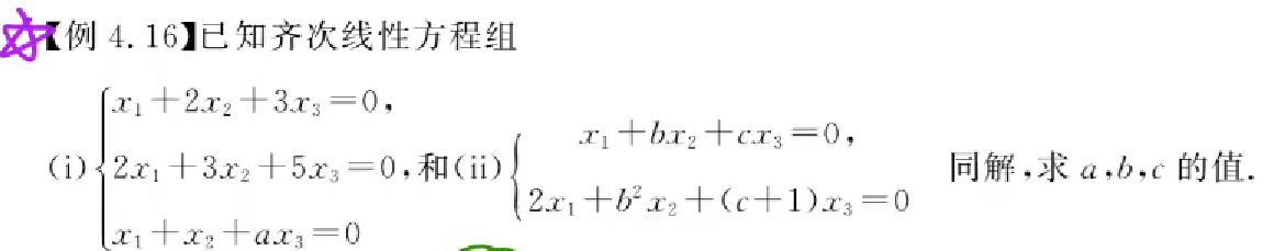
两个方程组有同解问题
②然后再根据其中一个方程,求出解系,代入另外一个方程,使得等式恒成立
③求出结果,带回去验证秩是否符合
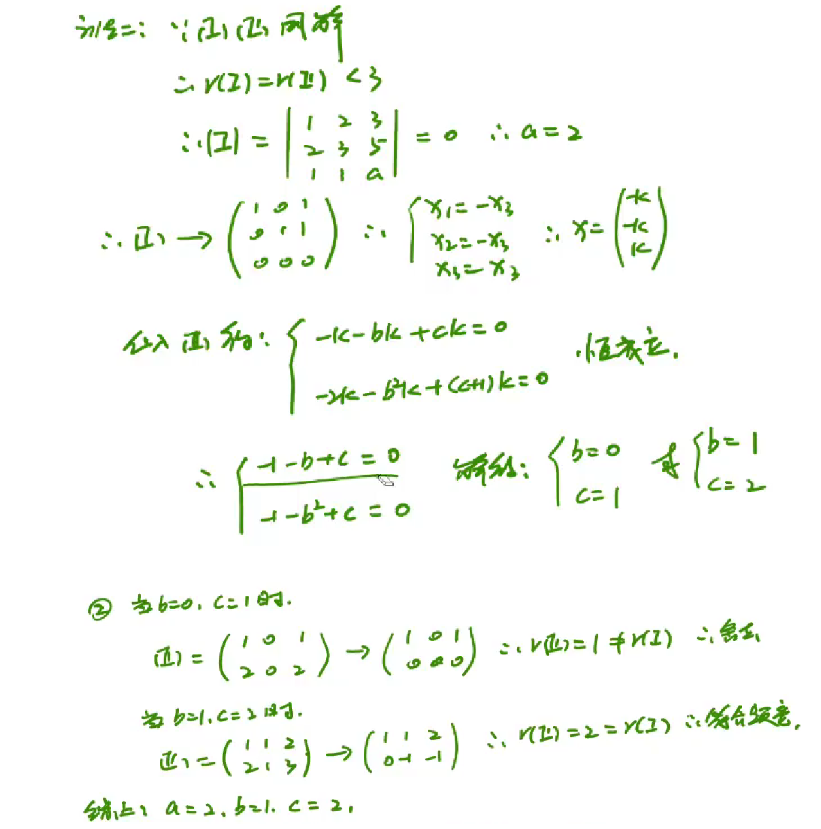
公共解、同解与特征值特征向量
解特征值,特征向量的方法
方法2.技巧性方法
①.这题的矩阵A可以拆开为一个秩为1的矩阵 B-E
②r(B)=1,特征值0, 0,λ3
③利用对角线元素之和=特征值之和=6,所以λ3=6
④A=B-E,Aα=Bα-Eα ,λAα=λBα - α,所以λA=λB-1,对应特征值是一样的
各种矩阵的特征值
很经典的一道题
判断一个矩阵A可否对角化
特征值不是重根的特征向量的组合,求其特征值
典型例题
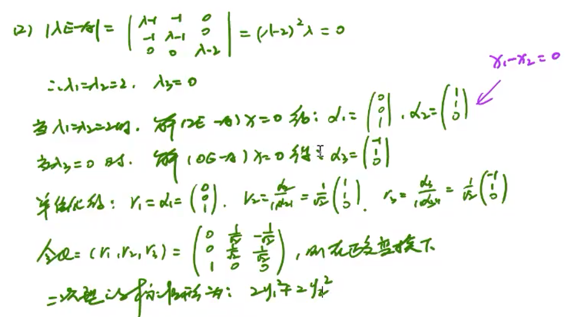
实对称矩阵与二次型的标准型
实对称矩阵性质
- 若A是
实对称矩阵,则一定可以对角化即P-1AP = ∧,且不同特征值对应的特征向量一定是正交的;相同特征值对应的特征向量就只是线性无关不一定相互正交。 - 实对称矩阵进行相似变换的矩阵P的可以
正交化,单位化为一个正交矩阵Q,可以使得Q-1AQ=∧ - 又因为
正交矩阵有性质Q-1=QT,所以QTAQ = ∧,称之为合同对角化
例题
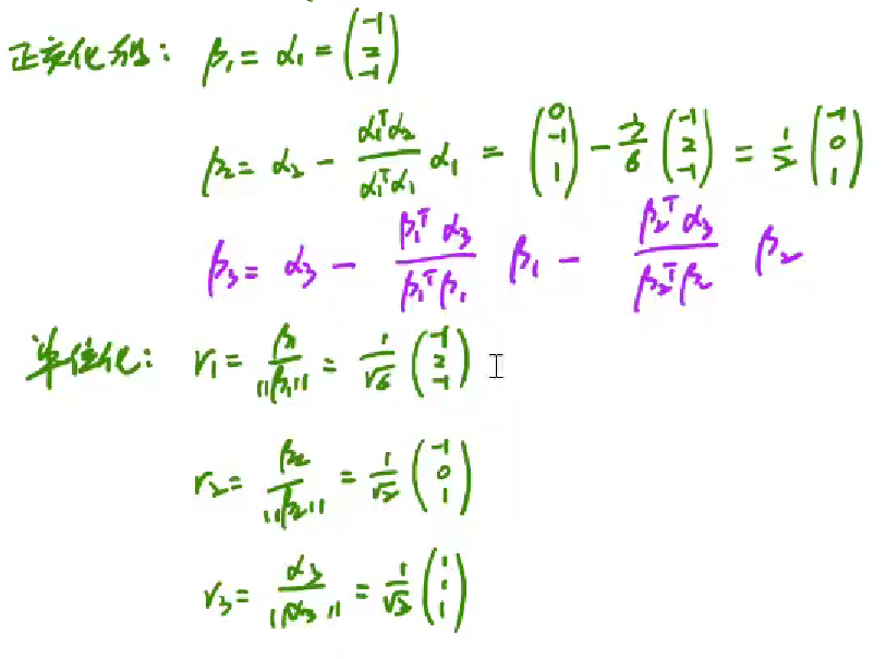
矩阵的正交化合单位化
求方阵的幂次An
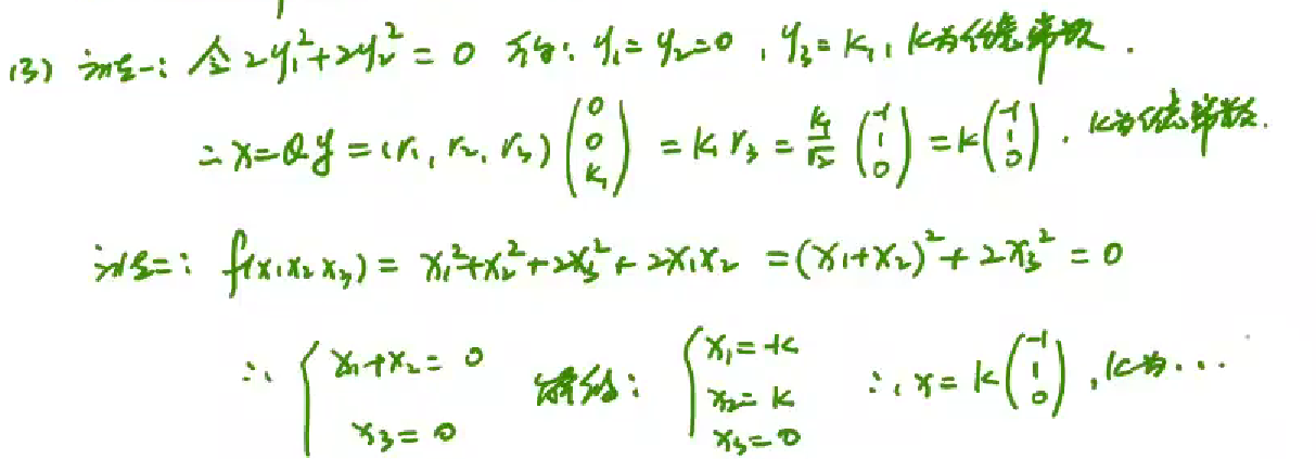
二次型的基本概念
2.标准型 XTAX = XTP-1 ∧ PX = YT∧Y 【X=PY就是正交变换,P为正交矩阵】
3.规范型 换元对角线系数全为1
67
解二次型问题
解二次型,一般先转换为标准型,解出Y,利用正交变换解出X
例题
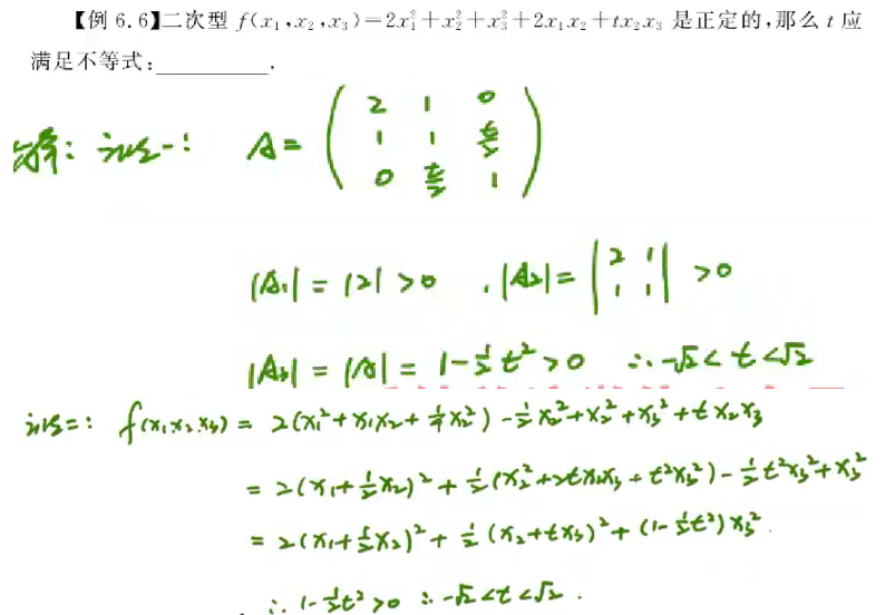
二次型的正定性与合同
正定二次型的判定
区分等价、相似、合同之间的关系
那要如何判断两个二次型是否合同?
1与二次型矩阵合同的矩阵一定也是一个对称矩阵因为PTAP=B,则BT=PTAP=B,得先满足这个条件
2.满足上述条件后,如果两个二次型对应的标准型的正负号相同(特征值的符号相同),那么就是这两个二次型合同的
若A是方阵,α是向量则,Aα,任然是一个向量
典型例题
二次型正负定性的判定
判断一个对称矩阵是否正定:
1.正交变换法化为标准型,看得到标准型矩阵,对角线的特征值是否都>0
2.配方法化标准型,看得到的标准型矩阵,对角线的数是否都>0
3.看正惯性指数,看是否全都是正的
4.看A的各阶主子式是否都为正
判断一个对称矩阵是否负定:
1.前三条与上面正好相反
2.看A的各阶主子式,奇数阶为负,偶数阶为正,那么就是负定






























































